蓝田县2020gdp_蓝田县地图(3)
时间:2021-03-31 11:09 类别:热点图片
蓝田县教育和科学技术局被授予 2020年度陕西教育新媒体运营卓越奖
时至午后,天气转阴 一场降雨正在酝酿中 下午,西安气象台发布雷电黄色预警信号 西安市气象台2020年07月30日15时55分发布雷电黄色预警信号:预计未来0-6小时,西安城区、周至县、鄠邑区、长安区、蓝田县、灞桥区、临潼区、高陵区、阎良区、西咸
遗愿清单 蓝田县蓝关镇尧山初中 八年级二班 贾子方 2020 学科作文学生优秀作品展主题周
投资金额 丨 建设周期 丨 2019年6月至2020年10月 蓝田县文姬路路面修复提升工程
最新 西安周至县发展规划,预引进富士康,三步打造 金周至
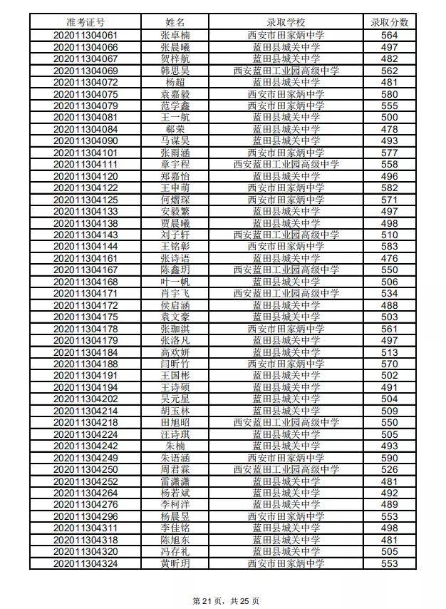
蓝田县2020年普通高中中考招生录取结果出炉
蓝田县2020年普通高中第二次定向生录取情况 附剩余计划数
对陕西省蓝田县玉山镇山王村而言,又多了一名大学生可是件大喜事。
鄠邑区人居环境整治 美乡村 颜 塑发展 魂
蓝田县2020年普通高中中考招生录取结果出炉
走遍蓝田,2020辋川镇 板厂村 穿越旅行 4 碑林区
西安经开区的2020 脱贫路上,一个都不能少
介绍蓝田县2020年
推荐阅读
相关文章阅读
- 最新文章
- 总排名
- 每月排行
- 推荐阅读
- 阅读排行
- 延伸阅读












