蓝田县2020gdp_蓝田县地图
时间:2021-03-31 11:09 类别:热点图片
蓝田县gdp总值
责 : 蓝田县2020年国民经济和社会发展计划执行情况与2021年国民经济和社会发展计划(草案)的报告;蓝田县2020年财政预算执行情况和2021年财政预算(草案)的报告。
蓝田县gdp总值
会议还审查了蓝田县2019年国民经济和社会发展计划执行情况与2020年国民经济和社会发展计划(草案)的报告以及蓝田县2019年财政预算执行情况和2020年财政预算(草案)的报告。
蓝田县gdp总值
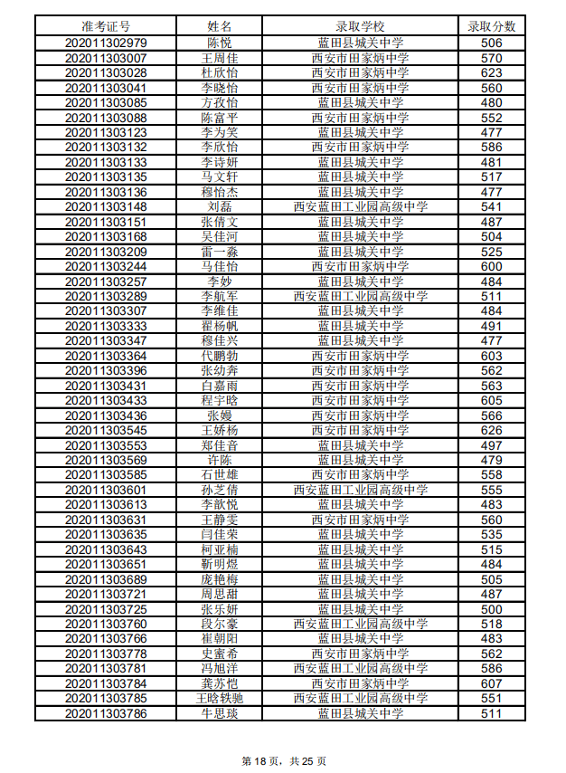
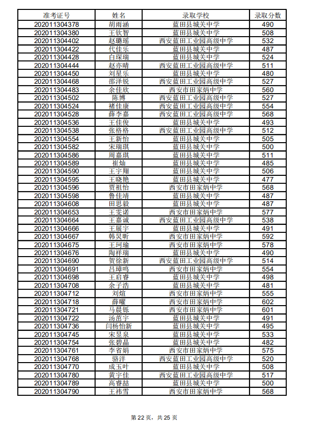
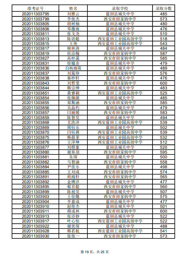
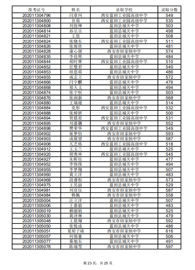
蓝田县2020年普通高中招生录取名单出炉
蓝田县2020年普通高中中考招生录取结果出炉
蓝田县2020年普通高中中考招生录取结果出炉
蓝田县2020年普通高中中考招生录取结果出炉
蓝田县2020年普通高中中考招生录取结果出炉
蓝田县2020年普通高中中考招生录取结果出炉
蓝田县2020年下半年中小学教师资格认定申请人体检公告
蓝田县2020年下半年中小学教师资格认定申请人体检公告
蓝田县2020年普通高中第二次定向生录取情况 附剩余计划数
蓝田县2020年普通高中招生录取工作公告,附第一批次顺延录取名单
重磅 蓝田县2020年进城务工人员随迁子女入学工作实施方案
重磅 蓝田县2020年进城务工人员随迁子女入学工作实施方案
重磅 蓝田县2020年进城务工人员随迁子女入学工作实施方案
重磅 蓝田县2020年进城务工人员随迁子女入学工作实施方案
重磅 蓝田县2020年进城务工人员随迁子女入学工作实施方案
重磅 蓝田县2020年进城务工人员随迁子女入学工作实施方案
推荐阅读
相关文章阅读
- 最新文章
- 总排名
- 每月排行
- 推荐阅读
- 阅读排行
- 延伸阅读



















