新田县2020GDP_新田县肖方英为副县长
时间:2021-04-01 08:53 类别:热点图片
加入2020新田县考编群
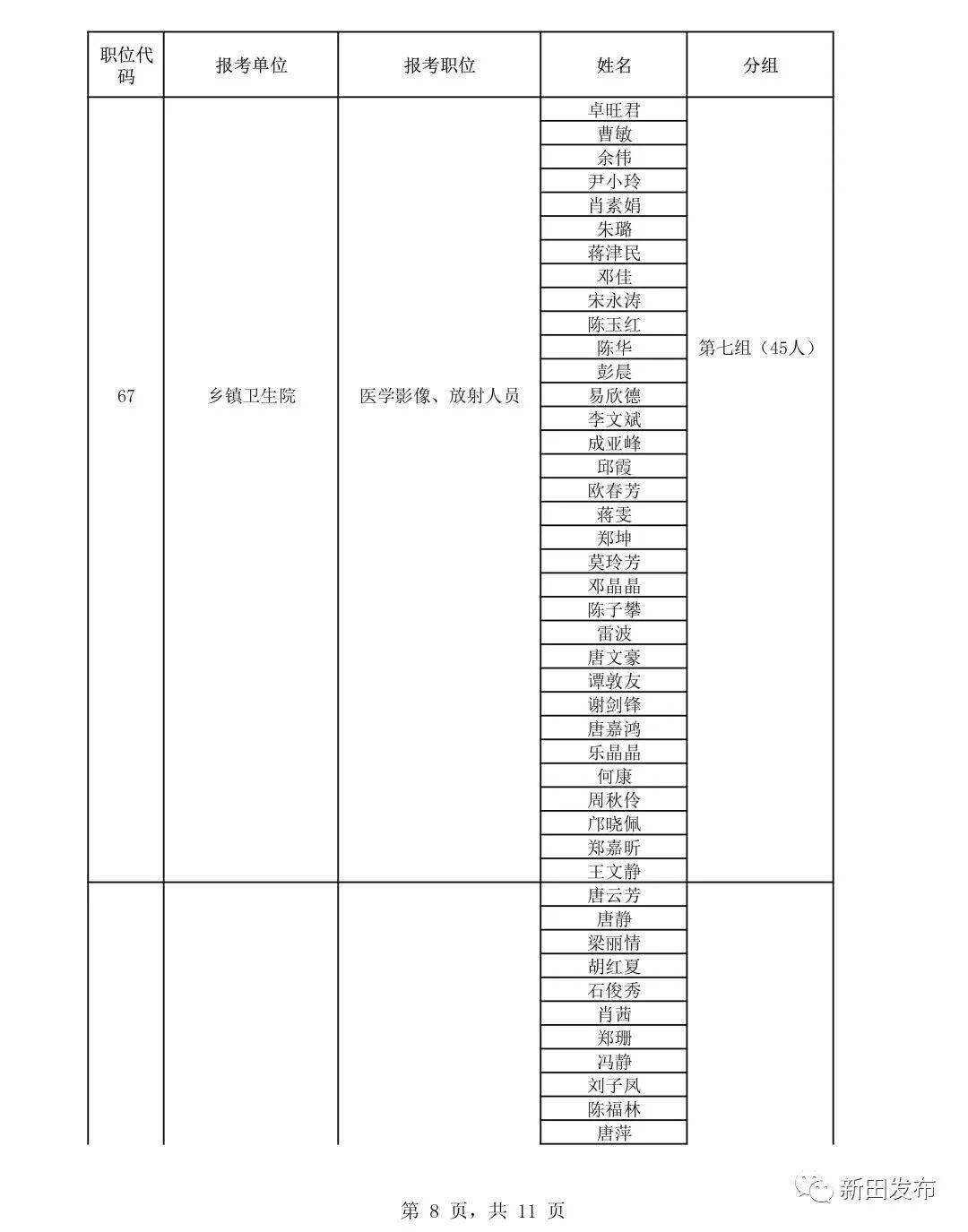
新田县2020年医疗卫生急需紧缺人才公开招聘面试公告
新田县2020年医疗卫生急需紧缺人才公开招聘面试公告
新田县2020年医疗卫生急需紧缺人才公开招聘面试公告
新田县2020年医疗卫生急需紧缺人才公开招聘面试公告
新田县2020年医疗卫生急需紧缺人才公开招聘面试公告
新田县2020年医疗卫生急需紧缺人才公开招聘面试公告
新田县2020年医疗卫生急需紧缺人才公开招聘面试公告
新田县2020年县直企事业单位引进急需紧缺专业人才面试成绩公示
新田县2020年县直企事业单位引进急需紧缺专业人才面试成绩公示
新田县2020年县直企事业单位引进急需紧缺专业人才面试成绩公示
新田县2020年县直企事业单位引进急需紧缺专业人才面试成绩公示
新田县2020年医疗卫生急需紧缺人才公开招聘面试公告
新田县2020年高标准农田建设项目正式签约
新田县2020年医疗卫生急需紧缺人才公开招聘体检公告
新田县2020年医疗卫生急需紧缺人才公开招聘体检公告
新田县2020年医疗卫生急需紧缺人才公开招聘体检公告
新田县2020年医疗卫生急需紧缺人才公开招聘体检公告
新田县2020年医疗卫生急需紧缺人才公开招聘笔试公告
新田县2020年党务工作会议。
2020年湖南永州新田县第二批教师招聘146名公告
推荐阅读
相关文章阅读
- 最新文章
- 总排名
- 每月排行
- 推荐阅读
- 阅读排行
- 延伸阅读


















