回归模型法计算平均GDP增长率_中国历年gdp增长率图
时间:2021-03-31 16:04 类别:热点图片
年均gdp增长率怎么算
计量经济学 回归分析
基于上述数据,我们可以假设二至四季度建筑业订单增速分别为(19.8%、19.9%、20.0%),且假设未来订单增速与 gdp 增速的差开始向中位数小幅回归(二至四季度分别为 6.96%、6.90%、6.86%), 建筑订单当季增速与名义 gdp 增速差
由于税基的重复, 税收增速弹性往往大于gdp增速,假设下半年名义gdp增速在5%以上,则按照回归模型结果,下半年一般公共预算收入在2%-4%之间,基本可以完成年初预算。 (
gdp now模型)
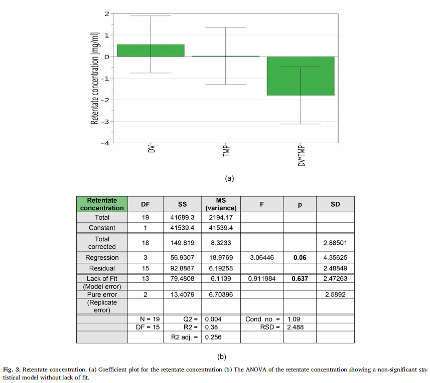
回归模型建立过程中未发现显著的主要因素和交互项,采用方差分析评价初始回归模型的统计显著性时,p值(p\u003E0.05)表明
支持一系列广泛的回归模型、层次聚类和常用的教科书统计功能是企业在数据科学和机器学习平台中所需的几大功能。
在传统模型中,r*等于经济产出增长率,等于劳动人口增长率加上劳动生产率增长率,并认为这两个因素大致相对稳定。
在传统模型中,r*等于经济产出增长率,等于劳动人口增长率加上劳动生产率增长率,并认为这两个因素大致相对稳定。
在传统模型中,r*等于经济产出增长率,等于劳动人口增长率加上劳动生产率增长率,并认为这两个因素大致相对稳定。
在传统模型中,r*等于经济产出增长率,等于劳动人口增长率加上劳动生产率增长率,并认为这两个因素大致相对稳定。
4、我国国际旅游收入增长的回归模型。
图片来源:财经节析 多元线性回归模型 在计量经济学中, 将含有两个以上解释变量的回归模型叫做多元回归模型,该模型描述了一个应变量与多个解释变量之间的线性关系。
数据来源:教育部 研究生报名人数与经济发展趋势紧密相关,据统计,当我国gdp增速放缓时,研究生报名人数增长率会提高,两者呈现负相关。
3、城乡收入绝对差距与人均gdp的一元线性回归分析 一是城乡收入绝对差距关于人均gdp的一元线性回归模型mode3的显著性检验f值=52.99,相应的p值\u003C0.0001,表明城乡收入绝对差距对人均gdp的一元线性回归在统计上有意义;二是判定系数为0.8
经济产出缺口为负短期难以消除 在中泰时钟产出维度中,在对常见的经济产出指标清洗、修整之后,利用逐步回归模型,筛选出统计意义上对名义gdp解释力最大的指标是: 房地产投资增速、进出口总额增速、社会消费品零售总额增速。
4)名义gdp增速和企业盈利增速展望 基于上述模型和我们对cpi、ppi、实际gdp增速的基本预测,即可对2019q2至q4的gdp平减指数做出如下预测:二季度,cpi由于供给冲击而明显上升,ppi企稳回升,平减指数将比q1上升1个百分点;三季度,p
图2:按行业的算法使用偏差 我们注意到产业界数据科学家更倾向使用回归算法、可视化、统计算法、随机森林算法和时间序列。
我们提取了1995年以来美国gdp数据和我国对美出口数据,发现线性模型对两者关系的拟合效果较好(图8),因此我们采用线性模型评估美国gdp下滑对我国对美出口的影响。
那谁知道目前 哪些统计软件 采用传统生存分析方法(k-m法、cox比例风险回归模型)会高估
掩膜提取法回归结果 中-低法及掩膜提取法去噪后的灯光总亮度值与gdp建立的回归模型分别如图 10和图 11所示,其中y1、y2、y3分别为幂函数回归、多项式回归和线性回归模型,各模型相关系数(r)与判定系数(rsquare)见表 2。
推荐阅读
相关文章阅读
- 最新文章
- 总排名
- 每月排行
- 推荐阅读
- 阅读排行
- 延伸阅读
















