北滘镇2020年GDP_中国gdp2020年
时间:2021-03-30 14:58 类别:热点图片
上图是顺德区去年固定资产投资占比,各个镇街可以说是“差距悬殊”,其中大良占比超70%,而gdp排名第一的北滘只有5.8%,这么一看就知道谁是亲生儿了!
图/网络 在佛山市“十三五”城市建设规划中,描绘出北滘2020年的发展蓝图,北滘镇将作为“三龙湾”中的重点镇,获得重点打造。
广佛楼市燃爆湾区 首付8万起 紧抓下一个投资风口
佛山不仅有多个“全国百强区” ,还有多个“全国千强镇”,如狮山镇、北滘镇、大沥镇、西樵镇等,其中的狮山镇,其gdp比部分地级市高。
经济突围增长的北滘密码 第fc04版 佛山观察 关注 2020 12 02 南方日报数字报 南方网
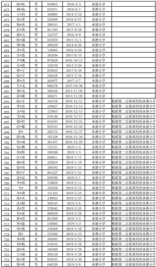
北滘镇2020年公办小学一年级户籍生录取结果公告
北滘镇2020年公办小学一年级户籍生录取结果公告
北滘镇2020年公办小学一年级户籍生录取结果公告
北滘镇2020年公办小学一年级户籍生录取结果公告
权威发布 北滘镇2020年公办幼儿园小班招生方案出炉
北滘镇2020年公办小学一年级户籍生录取结果公告
北滘镇2020年公办小学一年级户籍生录取结果公告
北滘镇2020年公办小学一年级户籍生录取结果公告
2020年北滘镇 广勤杯 第二十二届社区男子篮球联赛赛事安排
gdp破600亿 双千亿产业强镇领跑湾区 佛山 顺德北滘盛势崛起
6月27日报名 北滘镇2020年公办幼儿园小班招生方案出炉
北滘镇2020年公办小学一年级招生 网上报名操作指南
北滘镇2020年春季公办中小学校 转学插班工作指引
2020年北滘镇第十三届 溜酷杯 轮滑大赛秩序册及名单公示
北滘镇2020年公办小学一年级户籍生录取结果公告
● 招生学区划分 《北滘镇2020年公办小学一年级户籍生招生学区划分方案》
推荐阅读
相关文章阅读
- 最新文章
- 总排名
- 每月排行
- 推荐阅读
- 阅读排行
- 延伸阅读


















