企业购买粮食可计入gdp吗_节约粮食手抄报(2)
时间:2021-03-18 10:16 类别:热点图片
png,345x554,6879b
制造业持续回暖 三大采购经理指数连续8月位于扩张区间
jpg,821x1280,63493b
李程,e 签宝 安全总监_ 因为我是做安全,所以我常常会看到企业在数字化过程中,不可避免会利用到数据.
jpeg,619x1080,84586b
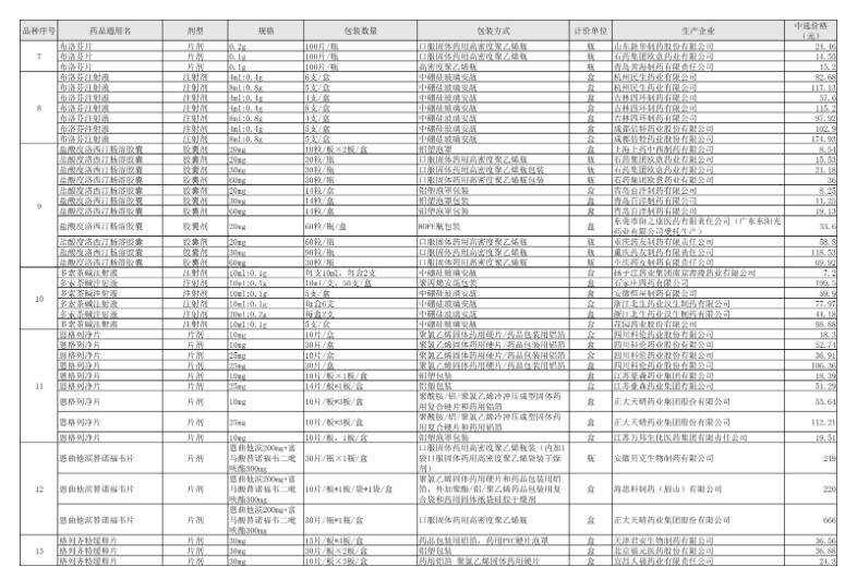
针对药企不同的失信等级,省级集中采购机构可以根据药企信用评级,分别采取书面提醒告诫、依托集中采购平台向采购方提示风险信息、限制或中止相关药品或医用耗材挂网、限制或中止采购相关药品或医用耗材、披露失信信息等处置措施.
jpeg,640x1092,150457b
社区团购商业模型来源 / 光大证券
jpeg,640x1080,56942b
全球消费者 买买买 背后的决策 有逻辑可言吗
jpeg,536x1080,305534b
企业可根据自身产品特性和消费者的使用场景,选用适宜的现行有效的产品标准或制订不低于相应地区(国家)强制性标准的企业标准进行产品生产与质量控制.
jpg,705x1080,184081b
济宁至蔡甸什么物流便宜承接物流及货运业务
,"height":1137x640,103947b
刚刚总理报告现场传力这些重磅消息
jpeg,531x786,83337b
第四批药品集采中选结果公布 预计5月可惠及全国患者
jpeg,2500x1562,490983b
根据此次公布的《全国药品集中采购文件》,此次带量采购各品种各地首年约定采购量按以下规则确定:全国实际中选企业数为1家的,为首年约定采购量计算基数的50%;全国实际中选企业数为2家的,为首年约定采购量计算基数的60%;全国实际中选企业数为3家的,为首年约定采
png,700x1080,79069b
奢侈品采购记录_ 并且,万里目所有进口货品合法合规清关,进口货品均可在互联网海关上查询清关记录.
jpg,2193x1601,471075b
可以看到,对于35座主要城市而言,大家的5年收入复合增长率均高于房价复合增长率.
jpg,840x1500,161970b
能源互联网产业升级 傍上\"区块链\"就可以了吗
jpeg,1080x1080,86869b
优化网络购票流程 改善旅客购票体验
推荐阅读
相关文章阅读
- 最新文章
- 总排名
- 每月排行
- 推荐阅读
- 阅读排行
- 延伸阅读






.jpg)





