二0二0年中美GDp_刘文西二0一0年油画(2)
时间:2021-03-17 09:27 类别:热点图片
jpg,233x476,17220b
2015 年中国研发支出强度(研发支出占 gdp 比重)为 2.1%,低于美国 0.7 个百分点,但是中国技术强度追赶速度远高于美国,2005-2015 年期间,中国研发支出强度累计上升58%,高出美国 4
gif,298x537,9645b
国家统计局 上半年gdp同比增长7.0
gif,284x523,9271b
国家统计局 上半年gdp同比增长7.0
gif,235x502,8193b
国家统计局 上半年gdp同比增长7.0
png,370x411,18917b
附imf对其他部分国家的gdp增速预测_ imf认为,2019年美国的经济实际增速预计为2.4%,在主要发达经济体里面仍属于\"高水平\".
,"height":384x640,394558b
数据显示,2018年中国工业产值达到了5.53万亿美元,占gdp总量的比重为40.6%,其中制造业产值达到了4.0万亿美元,占gdp总量的比重为29.4%.
png,616x1418,152010b
美国经济在2019年第二季度增长2.1%,高于市场预期的1.8%,但低于季度前值3.1%;另外,第二季度gdp价格指数上涨2.5%,远高于市场预期的1.9%,高于上一季度的0.8%修正值.
jpg,770x1080,195044b
人民日报 关于中美经贸摩擦 中国发布白皮书给出13个权威论断
gif,274x516,8774b
国家统计局 上半年gdp同比增长7.0
png,625x877,68692b
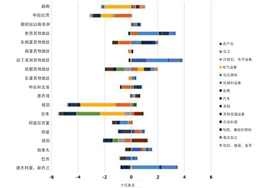
行业分类
,"height":544x1080,55749b
\u003E\u003E 一季度实际gdp增速可能下行到5.7%至5.9%_ 2019年四季度gdp同比增速持平为+6.0%,2019全年经济增速+6.1%;2020年1月15日,中美双方正式签署第一阶段贸易协议,我们认为考虑中美博弈的长期性、握手言和的阶段性和全面建成小康
jpeg,601x864,82966b
侠客岛 再这样乱下去,香港经济会受到多大冲击
jpg,453x680,114070b
经合组织oecd 全球经济增长可能已经见顶
,"height":534x800,37880b
新加坡总理李显龙讲中美关系 中英全文
推荐阅读
相关文章阅读
- 最新文章
- 总排名
- 每月排行
- 推荐阅读
- 阅读排行
- 延伸阅读







