2020四川各市gdp最终核定_四川人均gdp(3)
时间:2021-03-17 09:22 类别:热点图片
png,909x440,518459b
赛迪百强榜—县域经济100强(2017)
png,2241x1427,329687b
2020中国城市政商关系健康指数top20
jpeg,2024x1080,393163b
》_ 昆明市招生考试院发布了2020年昆明市主城区普通高中录取公告(第一批次招生录取学校)第一轮征集志愿补录结果.
png,2335x1080,713437b
2020年成都市直属学校指标到校生分配计划
png,1330x636,475212b
2020年全国投资潜力百强县(市)名单
jpeg,1800x1280,767789b
2020年福建省艺术类本科b批各专业录取最后一名考生成绩信息公布
jpeg,1799x1280,769087b
2020年福建省艺术类本科b批各专业录取最后一名考生成绩信息公布
jpeg,2118x890,246595b
2020中国县域科技创新百佳县市 出炉
png,1528x1080,191982b
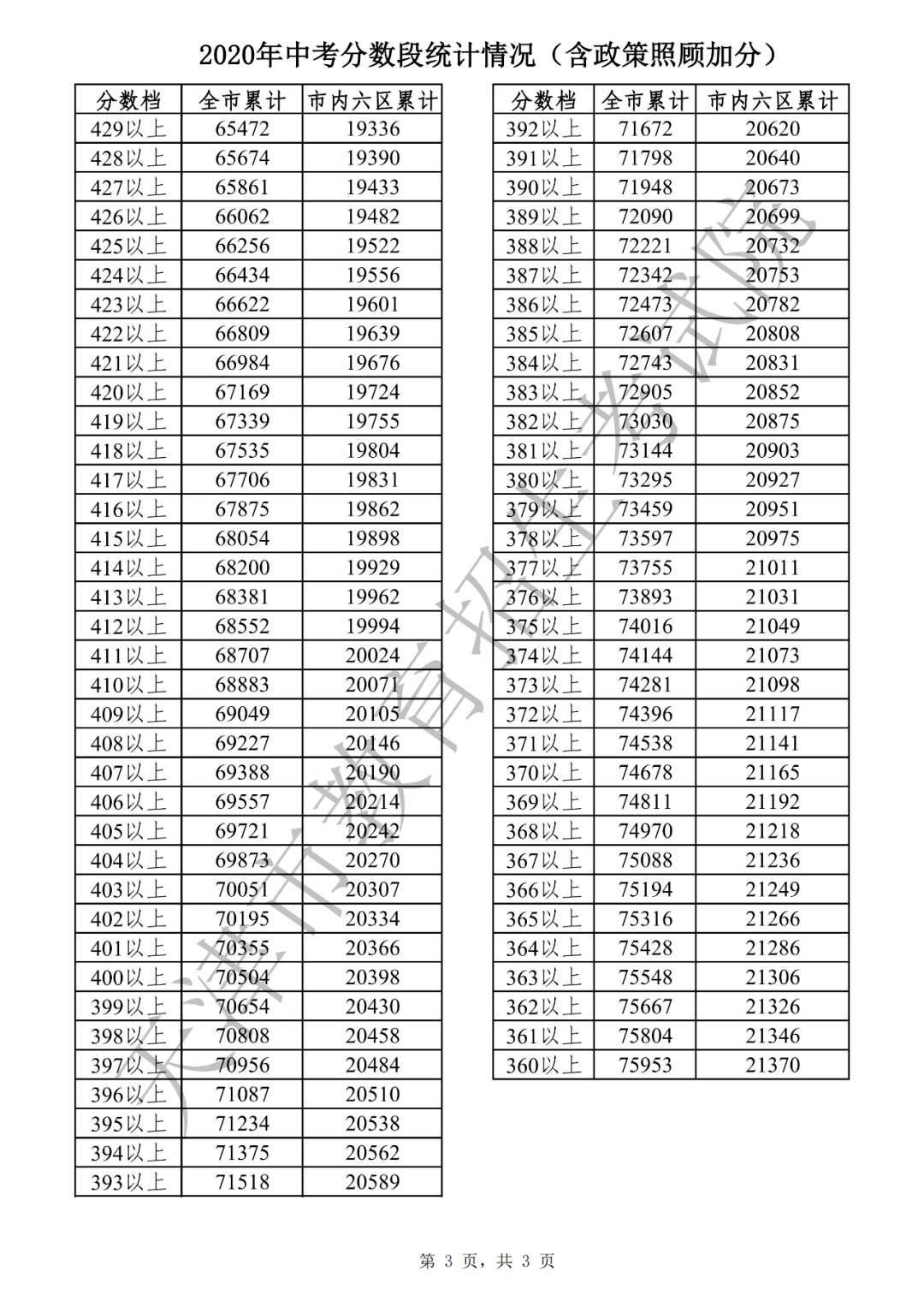
2020年成都市中考分数段
png,3418x2019,363811b
2020年,疫情背景下市场充裕流动性带来成长股估值扩张,成长股基金持续处于风口;2021年,经济复苏带来顺周期股的业绩增长,不少基金经理对于全年周期股行情已表现出较高期待.
jpeg,593x1080,104346b
相关推荐_ (原标题:市场监管总局:经审批的特殊医学用途配方食品共48个)_ 市场监管总局5月16日晚发布《特殊医学用途配方食品产品批准注册清单》,截至2020年5月13日,通过特殊医学用途配方食品注册审批的配方食品有48个.
png,1527x1080,236954b
2020年中考分数段公布 全市总平均分422.59分
推荐阅读
相关文章阅读
- 最新文章
- 总排名
- 每月排行
- 推荐阅读
- 阅读排行
- 延伸阅读











