gdp ndp ni pi dpi公式_三阶魔方公式图解(3)
时间:2021-03-16 15:37 类别:热点图片
jpg,450x600,47764b
18省市三季度gdp数据出炉 经济总量首位或易主
png,512x450,25296b
中美印日过去30年GNI
jpg,269x566,23415b
故最小正周期为π,本题主要考察了三角恒等变换及相关公式,属中档题
,"height":420x600,79273b
扩展资料:_ 诱导公式口诀\"奇变偶不变,符号看象限\"意义:_ k*π/2±a(k∈z)的三角函数值:_ (1)当k为偶数时,等于α的同名三角函数值,前面加上一个把α看作锐角时原三角函数值的符号;_ (2)当k为奇数时,等于α的异名三角函数值,前面加
jpg,386x640,26685b
图20:拆解5g下香农公式因子
jpg,397x500,19640b
注:1800年之前的数据由意大利经济学家guido alfani计算,1800年之后的数据由法国经济学家thomas piketty计算
jpg,244x500,51088b
绘制正切曲线:在a1单元格中输入\"弧度\",在b1单元格中输入\"tan值\",从a2列起依次输入数字\"1,2,3,4,...,360\",在b2列中公式\"=tan(a2*pi()/180)\"回车,然后将鼠标放在单元格的右下角,当鼠标变为小黑十字样时,双击填充b1
,"height":818x1023,107001b
注:_ ①红色:方法1——根据国家统计局解读稿中发布的cpi各分项同比增速及对cpi拉动,倒推出各分项的权重(公式:某一分项对cpi同比的拉动=该分项同比增速*权重).
png,876x978,176155b
ranknet学习思路 损函感悟 pi xu 学xi 交叉熵损函详
jpeg,398x647,34289b
w、ti及cr的晶粒尺寸对屈服强度的影响_ ag、ni的晶粒尺寸对屈服强度的影响_ al的晶粒尺寸对屈服强度的影响_ 晶粒尺寸与金属材料硬度的关系_ 纯铁晶粒尺寸与弹性极限之间的关系_ d为晶粒尺寸.
jpg,1920x2352,1941200b
为什么PI的软件的计算结果常常与资料提供的计算公式结果不同
png,793x993,111154b
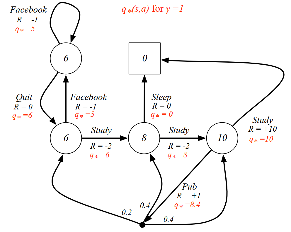
由于策略π是随机的,因此累计回报_ 也是随机的,根据贝尔曼公式,那么最优的状态值函数和动作值函数分别为:_ 到目前为止,我们介绍了mrp,然后有引出mdp以及mdp中很重要的公式是贝尔曼公式,最后
推荐阅读
相关文章阅读
- 最新文章
- 总排名
- 每月排行
- 推荐阅读
- 阅读排行
- 延伸阅读








