2020年潍坊各县市区g_2020潍坊风筝节图片(2)
时间:2021-01-27 15:43 类别:热点图片
236x540,36680b
3、潍坊市到惠来县,乘坐g278次列车,在广州南站下车,转乘g9645/g次列车,在普宁站下车,然后,从普宁站到惠来县(_ ).
232x549,36672b
2、潍坊市到惠来县,乘坐g278次列车,在广州南站下车,转乘g6325/g6313次列车,在普宁站下车,然后,从普宁站到惠来县(_ ).
jpeg,562x640,106178b
责 :_ 根据山东省化工专项行动办《关于核对确认第二批关闭退出企业的通知》(鲁化安转函〔2020〕9号)要求,潍坊市化工专项行动办对各县市区报送的第二批关闭退出企业名单进行了汇总审核,将潍坊市第二批关闭退出化工生产企业名单确认情况予以公示,公示异议期
jpeg,399x640,50109b
违法地点:潍坊市昌邑县文昌南路与交通街路口_ 违法行为:机动车逆向行驶_ 违法处理:扣3分罚款200元_ 2、鲁gp328x_ 原标题:潍坊、菏泽这些车被罚款200扣3分!
jpeg,687x451,105938b
责 :_ 根据山东省化工专项行动办《关于核对确认第二批关闭退出企业的通知》(鲁化安转函〔2020〕9号)要求,市化工专项行动办对各县市区报送的第二批关闭退出企业名单进行了汇总审核,现将潍坊市第二批关闭退出化工生产企业名单确认情况予以公示,公示异议期为
jpeg,720x640,132848b
责 :_ 根据山东省化工专项行动办《关于核对确认第二批关闭退出企业的通知》(鲁化安转函〔2020〕9号)要求,潍坊市化工专项行动办对各县市区报送的第二批关闭退出企业名单进行了汇总审核,将潍坊市第二批关闭退出化工生产企业名单确认情况予以公示,公示异议期
png,797x520,41311b
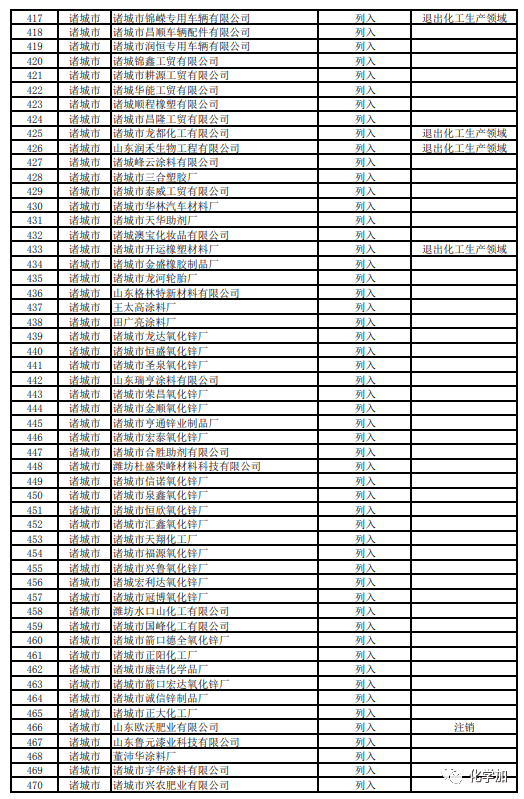
来源 | 潍坊市化工专项行动办_ |_ 责 :_ 根据山东省化工专项行动办《关于核对确认第二批关闭退出企业的通知》(鲁化安转函〔2020〕9号)要求,潍坊市化工专项行动办对各县市区报送的第二批关闭退出企业名单进行了汇总审核,现将潍坊市第
png,800x524,45097b
来源 | 潍坊市化工专项行动办_ |_ 责 :_ 根据山东省化工专项行动办《关于核对确认第二批关闭退出企业的通知》(鲁化安转函〔2020〕9号)要求,潍坊市化工专项行动办对各县市区报送的第二批关闭退出企业名单进行了汇总审核,现将潍坊市第
png,799x524,37533b
来源 | 潍坊市化工专项行动办_ |_ 责 :_ 根据山东省化工专项行动办《关于核对确认第二批关闭退出企业的通知》(鲁化安转函〔2020〕9号)要求,潍坊市化工专项行动办对各县市区报送的第二批关闭退出企业名单进行了汇总审核,现将潍坊市第
png,796x527,45391b
来源 | 潍坊市化工专项行动办_ |_ 责 :_ 根据山东省化工专项行动办《关于核对确认第二批关闭退出企业的通知》(鲁化安转函〔2020〕9号)要求,潍坊市化工专项行动办对各县市区报送的第二批关闭退出企业名单进行了汇总审核,现将潍坊市第
png,798x528,42728b
来源 | 潍坊市化工专项行动办_ |_ 责 :_ 根据山东省化工专项行动办《关于核对确认第二批关闭退出企业的通知》(鲁化安转函〔2020〕9号)要求,潍坊市化工专项行动办对各县市区报送的第二批关闭退出企业名单进行了汇总审核,现将潍坊市第
jpeg,348x639,61463b
责 :_ 根据山东省化工专项行动办《关于核对确认第二批关闭退出企业的通知》(鲁化安转函〔2020〕9号)要求,市化工专项行动办对各县市区报送的第二批关闭退出企业名单进行了汇总审核,现将潍坊市第二批关闭退出化工生产企业名单确认情况予以公示,公示异议期为
jpeg,686x452,95483b
责 :_ 根据山东省化工专项行动办《关于核对确认第二批关闭退出企业的通知》(鲁化安转函〔2020〕9号)要求,市化工专项行动办对各县市区报送的第二批关闭退出企业名单进行了汇总审核,现将潍坊市第二批关闭退出化工生产企业名单确认情况予以公示,公示异议期为
jpeg,683x454,96511b
责 :_ 根据山东省化工专项行动办《关于核对确认第二批关闭退出企业的通知》(鲁化安转函〔2020〕9号)要求,市化工专项行动办对各县市区报送的第二批关闭退出企业名单进行了汇总审核,现将潍坊市第二批关闭退出化工生产企业名单确认情况予以公示,公示异议期为
推荐阅读
相关文章阅读
- 最新文章
- 总排名
- 每月排行
- 推荐阅读
- 阅读排行
- 延伸阅读











