2020上半年西安各区g_2020西安地图各区全图
时间:2020-11-20 14:14 类别:热点图片
jpeg,550x640,87286b
最全版 2020年西安市各区县学区划分汇总
jpeg,1871x1028,267847b
2020年西安各区县学区划分明细
jpeg,488x640,152031b
最全版 2020年西安市各区县学区划分汇总
jpeg,451x640,145159b
最全版 2020年西安市各区县学区划分汇总
jpeg,421x640,46685b
2020上半年北京住宅各区成交排名
jpeg,978x1080,92955b
2020年西安各区县学区划分明细
457x633,92038b
山东烟台与陕西西安的2020上半年GDP出炉,两者排名怎样
jpeg,783x640,102479b
2020年上半年全国经济25强,13城竞争激烈,西安增速第一
jpeg,730x1025,51720b
世邦魏理仕 2020年上半年北京房地产市场回顾及展望
jpeg,452x640,49185b
今年上半年,西安进出口总值1661.12亿元,同比增长2.8%.
jpeg,2205x999,442400b
2020年西安各区县学区划分明细
png,338x542,15642b
全年万亿已无悬念 2020前三季度西安gdp7075.31亿元
jpeg,279x644,21533b
2020年上半年西安房价从整体上来看是呈波动性上升的,在疫情的影响下2月份数据为今年的最低值,在3月份有所缓和之后4月份再次出现回落,5月西安楼市市场回温增速明显加快,"红5月"出现的原因主要是因为在以碧桂园云顶为代表的,一些均价两万以上的楼盘摇号"抢房"
jpg,681x1080,42921b
就此而言,2020年gdp相较2010年翻番,明年的经济增速至少还要保持在6%左右,这就意味着稳经济和稳增长的重要性.
png,1974x1080,142741b
2020上半年gdp百强城市出炉,烟台排名26
jpg,1343x800,176320b
上半年人均可支配收入排行榜 京沪超3.4万
png,1233x925,70307b
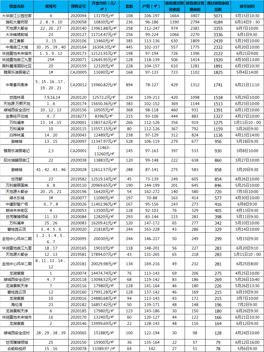
2020上半年西安这些盘卖得最好 大华公园世家居首5071组家庭摇号
png,586x1039,410743b
2020年上半年西安房价从整体上来看是呈波动性上升的,在疫
jpeg,1101x640,151293b
下半年计划开业的商业项目中,省会城市西安占28个,占比达72%,意味着陕西超一半的新开业项目将在西安集中亮相;除西安外,咸阳和宝鸡新开业项目数量占第二位,下半年预计新开商业项目4个;渭南下半年预计有2个项目入市,延安只有1个预计开业.
jpeg,760x605,80297b
全国城市2020年上半年gdp排名 图/网络
推荐阅读
相关文章阅读
- 最新文章
- 总排名
- 每月排行
- 推荐阅读
- 阅读排行
- 延伸阅读


















