当前位置:主页 > 经济热点 > 热点图片 >

2019各省经济总值排名_中国各省gdp总量排名 2018年全国各省份经济实力排名出炉(2)

时间:2019-05-31 09:42 类别:热点图片

2019各省经济总值排名_中国各省gdp总量排名 2018年全国各省份经济实力排名出炉(2)

JPG,444x531,234KB,250_298

一季度消费数据排名 广东总量超7省区之和,地方债拖累贵州消费增速

2019各省经济总值排名_中国各省gdp总量排名 2018年全国各省份经济实力排名出炉(2)

JPG,878x1493,131KB,250_424

广东江苏占全国经济总量1 5

2019各省经济总值排名_中国各省gdp总量排名 2018年全国各省份经济实力排名出炉(2)

JPG,600x453,200KB,331_250

年浙江主要城市经济实力排行榜

2019各省经济总值排名_中国各省gdp总量排名 2018年全国各省份经济实力排名出炉(2)

JPG,500x281,134KB,446_249

016年GDP排行 江苏经济总量排名第二

2019各省经济总值排名_中国各省gdp总量排名 2018年全国各省份经济实力排名出炉(2)

JPG,448x414,231KB,270_250

2018各省份GDP总量前十.来源:中新网-四年跳两级,湖南经济总量

2019各省经济总值排名_中国各省gdp总量排名 2018年全国各省份经济实力排名出炉(2)

JPG,300x375,134KB,250_313

GDP排行 广东经济总量位居第一 重庆增速达10.7﹪

2019各省经济总值排名_中国各省gdp总量排名 2018年全国各省份经济实力排名出炉(2)

JPG,328x584,231KB,249_446

017前三季度各省GDP排名曝光 20个省份超1万亿

2019各省经济总值排名_中国各省gdp总量排名 2018年全国各省份经济实力排名出炉(2)

JPG,580x336,231KB,432_250

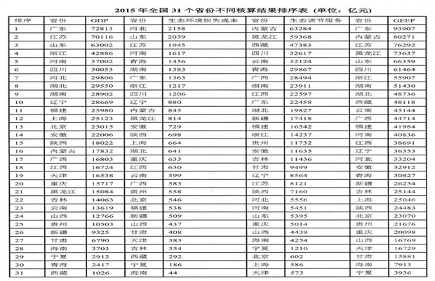
上 生态 账 各省经济如何排名

2019各省经济总值排名_中国各省gdp总量排名 2018年全国各省份经济实力排名出炉(2)

JPG,500x678,231KB,250_340

一季度各省份GDP出炉 山东GDP总值排名第三

2019各省经济总值排名_中国各省gdp总量排名 2018年全国各省份经济实力排名出炉(2)

JPG,455x588,134KB,250_323

一季度地方生产总值(GDP)排行榜.(中国经济网 制表人:宋雅静

2019各省经济总值排名_中国各省gdp总量排名 2018年全国各省份经济实力排名出炉(2)

JPG,600x404,134KB,370_250

年咱安徽省生产总值12645.4亿元,按可比价格计算,比去年同期增

2019各省经济总值排名_中国各省gdp总量排名 2018年全国各省份经济实力排名出炉(2)

JPG,606x865,231KB,250_356

2018中国各省gdp排名一览 2018年前三季度国内生产总值

2019各省经济总值排名_中国各省gdp总量排名 2018年全国各省份经济实力排名出炉(2)

JPG,620x400,234KB,387_250

这一因素后,各省份经济如何排名

2019各省经济总值排名_中国各省gdp总量排名 2018年全国各省份经济实力排名出炉(2)

JPG,500x672,134KB,250_336

2016年各省区市GDP排行 广东经济总量蝉联第一

2019各省经济总值排名_中国各省gdp总量排名 2018年全国各省份经济实力排名出炉(2)

JPG,580x723,231KB,250_311

上 生态 账 各省经济如何排名

推荐阅读

相关文章阅读