当前位置:主页 > 经济热点 > 热点图片 >

效率的计算公式_人均效率计算方法(3)

时间:2018-10-25 09:01 类别:热点图片

效率的计算公式_人均效率计算方法(3)

JPG,1267x669,231KB,473_250

完整的流程效率统计分析方案是如何实施的

效率的计算公式_人均效率计算方法(3)

JPG,690x334,134KB,515_250

真功夫 提升效率的秘诀 人均产值提升

效率的计算公式_人均效率计算方法(3)

JPG,599x266,234KB,564_250

连中国千所大学效率排行榜

效率的计算公式_人均效率计算方法(3)

JPG,668x403,231KB,415_250

完整的流程效率统计分析方案是如何实施的

效率的计算公式_人均效率计算方法(3)

JPG,1280x607,231KB,526_250

完整的流程效率统计分析方案是如何实施的

效率的计算公式_人均效率计算方法(3)

JPG,361x507,192KB,250_350

行业的定员定额方法标准 在线等 急

效率的计算公式_人均效率计算方法(3)

JPG,756x640,234KB,295_250

人均效率计算方法-基于ALOHA算法的RFID防碰撞技术研究

效率的计算公式_人均效率计算方法(3)

JPG,409x240,234KB,426_250

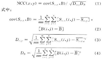
人均效率计算方法-一化互相关快速算法

效率的计算公式_人均效率计算方法(3)

JPG,400x350,231KB,332_291

评测安卓版核心算法公布 CPU篇 U本身性能架构效率决定,不针对

效率的计算公式_人均效率计算方法(3)

JPG,690x392,151KB,441_250

并行计算 利器 大数据

效率的计算公式_人均效率计算方法(3)

JPG,558x427,231KB,327_250

人均效率计算方法-WLI图像缩放算法的硬件设计

效率的计算公式_人均效率计算方法(3)

JPG,449x193,234KB,581_250

频调速节能量的计算方法

效率的计算公式_人均效率计算方法(3)

JPG,500x355,144KB,352_249

云计算 数据中心 解决方案

推荐阅读

相关文章阅读